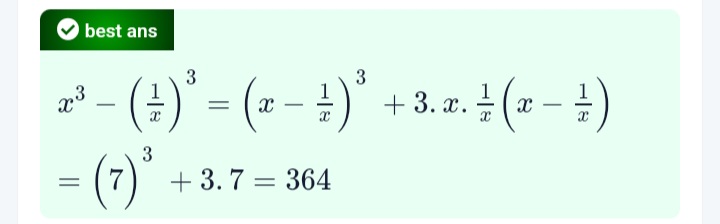
x – 1 /x= 7 হলে x ³ – ( 1 /x ) ³ এর মান কত ?

x – 1 /x= 7 হলে x ³ – ( 1 /x ) ³ এর মান কত ?

Add Comment
  • 1 Answer(s)

    RE: x - 1 /x= 7  হলে  x ³ - ( 1 /x ) ³ এর মান কত ?

    Answered on January 16, 2024.
    Add Comment
  • Your Answer

    By posting your answer, you agree to the privacy policy and terms of service.