Questions
12840
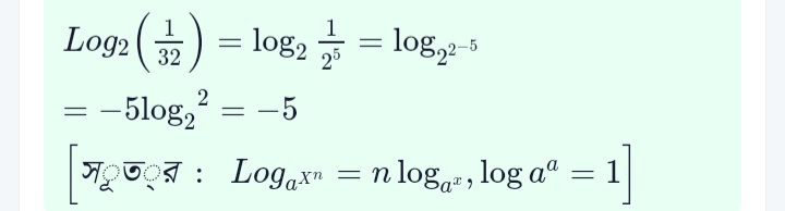
log 2 ( 1 /32 )এর মান কত?
By clicking "Sign up" you indicate that you have read and agree to the privacy policy and terms of service.
WhatsApp
Enter the destination URL
Or link to existing content