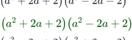
a⁴+ 4 এর উৎপাদক কি কি?

 

a4+4এর উৎপাদক কি কি?
Add Comment
  • 1 Answer(s)

    RE: a 4 + 4  এর উৎপাদক কি কি?

    Answered on December 3, 2023.
    Add Comment
  • Your Answer

    By posting your answer, you agree to the privacy policy and terms of service.