( 4x² − 16 ) এবং 6 x ² + 24 x + 24 এর গসাগু কত?

( 4x² − 16 ) এবং 6 x ² + 24 x + 24 এর গসাগু কত?

Add Comment
  • 1 Answer(s)

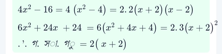
    RE: ( 4x²  − 16 )   এবং  6 x ² + 24 x + 24  এর গসাগু কত?

    Answered on January 14, 2024.
    Add Comment
  • Your Answer

    By posting your answer, you agree to the privacy policy and terms of service.