Questions
12840
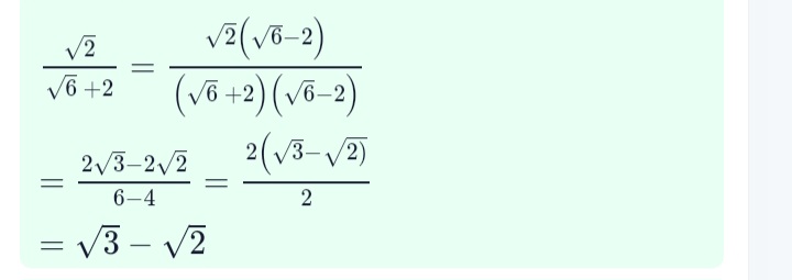
√ 2 /√ 6 + 2 = কত?
By clicking "Sign up" you indicate that you have read and agree to the privacy policy and terms of service.
WhatsApp
Enter the destination URL
Or link to existing content