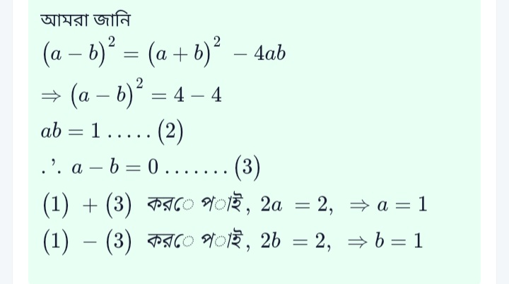
যদি a+b=2, ab=1 হয় তবে a এবং b এর মান যথাক্রমে কত হবে?

 

যদি a+b=2, ab=1 হয় তবে a এবং b এর মান যথাক্রমে কত হবে?

Add Comment
  • 1 Answer(s)

    RE: যদি a+b=2, ab=1 হয় তবে a এবং b এর মান যথাক্রমে  কত  হবে?

    Answered on January 14, 2024.
    Add Comment
  • Your Answer

    By posting your answer, you agree to the privacy policy and terms of service.