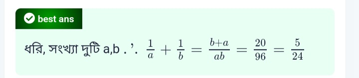
যদি দুটি সংখ্যার যোগফল এবং গুণফল যথাক্রমে 20 এবং 96 হয়, তবে সংখ্যা দুইটির ব্যস্তানুপাতিক যোগফল কত হবে?

যদি দুটি সংখ্যার যোগফল এবং গুণফল যথাক্রমে 20 এবং 96 হয়, তবে সংখ্যা দুইটির ব্যস্তানুপাতিক যোগফল কত হবে?

Add Comment
  • 1 Answer(s)

    RE: যদি দুটি সংখ্যার যোগফল এবং গুণফল যথাক্রমে 20 এবং 96 হয়, তবে সংখ্যা দুইটির ব্যস্তানুপাতিক যোগফল কত হবে?

    Answered on January 14, 2024.
    Add Comment
  • Your Answer

    By posting your answer, you agree to the privacy policy and terms of service.